-
2016年房價走勢:多地持續追加調控政策、房產政策再收緊,2016年房地產市場現狀及發展趨勢分析(最新)
2016/10/14 10:52:00 來源:中國產業發展研究網 【字體:大 中 小】【收藏本頁】【打印】【關閉】
核心提示:2016年“十一”長假前后,中國樓市熱鬧了一番,迎來新一輪的限購限貸大潮。自9月28日起直至黃金周結束,包括北京、廣州、深圳、蘇州、合肥等22城市(包括蘇州下轄縣級市昆山市)出臺了房地產調控政策,其中部分城市持續追加2016年“十一”長假前后,中國樓市熱鬧了一番,迎來新一輪的限購限貸大潮。自9月28日起直至黃金周結束,包括北京、廣州、深圳、蘇州、合肥等22城市(包括蘇州下轄縣級市昆山市)出臺了房地產調控政策,其中部分城市持續追加調控政策。
房地產政策再一次收緊之時,緊張的不僅僅是消費者,上市房企的壓力也隨之而來。
上市房企承壓
對于多家上市房企而言,這突如其來的限購,也許意味著他們就此再一次告別了銷售盛夏,邁入了漫長的秋季。
據2016年中報數據顯示,地產板塊上市公司整體營收增速比一季度明顯回落,但略高于去年全年。
根據整體法測算,2016年上半年板塊整體實現營收5860.0億元,同比增長38.5%,相比一季度的增速101.2%有明顯回落,但仍高于2015年37.2%的增速。上半年整體凈利潤增速延續去年增長勢頭。
另外,從上市公司樣本個數來看,2015年實現盈利的公司個數有116個,2016年第一季度實現盈利的減少到102個,而2016年上半年實現盈利的又回升至116個。
但值得注意的是,業績同比有增長的公司是在持續回升,由2015年的69個、2016年第一季度的78個提升至2016年上半年的86個。
截至2016年上半年,2015年營收規模在30億元以上的58家公司(以下簡稱“重點公司”)共計持有貨幣資金之和為6089.7億元,同比增長了42.2%,環比2016年第一季度也增長了9.7%;2016年上半年重點公司實現營業收入之和為5333.0億元,占地產板塊之比為91.0%(公司個數占比為40.8%),相比2015年的93.4%有小幅回落,但依舊維持在高位,也明顯高于2011-2014年。
除此之外,主動補庫存導致了存貨的持續增長,2016年上半年重點公司的存貨賬面價值合計為29693.0億元,同比增長了16.8%。
國慶期間多城同步開啟調控,地產或將迎來階段性拐點。除了樓市銷量將受影響外,后續新開工和地產投資下行將使基本面承壓。
數據顯示,從上市房企現金排行榜TOP100來看,恒大地產以1640億元名列榜首,中海地產以843億元位居第二,萬達商業、萬科A、碧桂園分別以731億元、532億元、479億元、438億元緊隨其后,拿下TOP5中的剩余3個座次。除此之外,排進前10的還有綠地控股、招商蛇口、保利地產、華潤置地和長實地產,貨幣資金分別為438億元、406億元、375億元、375億元和373億元。而今年拿地較為激進的時代地產以48億元排名第68位,同樣拿地尤為激進的榮新中國排名第97位,貨幣資金為27億元。
有數據顯示2016年上半年上市房企存貨Top100,截至2016年6月30日,上榜的100家房企的存貨總額為5.8萬億元,較2015年12月31日的5.3萬億元上升了9.43%,存貨進一步增加,而其中TOP10企業的存貨總額為2.6萬億元,相當于TOP100總額的44.82%,集中度高。
在上榜的企業中,存貨占資產比例超過70%的企業有14家,其中京投發展的存貨額為224億元,資產總額為274億元,存貨占比高達82%,華遠地產的存貨占比也達到了80%,其他TOP10企業為大名城、天地源、嘉凱城、南國置業、金科股份、迪馬股份、魯商置業和云南城投,存貨比均超過了74%。
除此之外,中國恒大的存貨較2015年底整整上漲了30%,達到4999億元,從第二躍居至榜首,萬科A的存貨較2015年底上漲了16%,排名上升一位,以4275億元排在第二,而綠地則以4065億元的存貨額由第一跌至第三。另外,位列TOP10的企業還有保利地產、碧桂園、萬達商業、華潤置地、中海外、招商蛇口、長實地產。
今年上半年,A股上市公司扭轉了去年同期盈利下滑的趨勢,出現了小幅反彈,而盈利變化的首要因素是房地產市場的火爆。今年上半年A股的上市公司(報告選取2271家2012年以前上市的非金融類A股上市公司為樣本)實現增加核心利潤318.85億元人民幣,同比增加5.9%。
今年上半年上市公司盈利質量改善首要得益于區域性房地產市場的火爆,上半年房地產上市公司為整個非金融A股公司直接貢獻了近45%的營業收入增長和近40%的凈利潤增長。如果考慮到房地產市場行業景氣對于上下游產業的拉動,房地產行業對上市公司營業收入增長的貢獻應至少達到五成以上。
截至10月9日,萬科A全國總銷售套數為261667套,銷售金額為4326.57億元。其中屬于限購城市的全國總銷售套數為194617套,銷售金額為3617.05億元。
保利地產全國總銷售套數為112958套,銷售金額為1846.41億元。其中屬于限購城市的全國總銷售套數為81542套,銷售金額為1573.71億元。
金地集團全國總銷售套數為38856套,銷售金額為652.42億元。其中屬于限購城市的全國總銷售套數為24866套,銷售金額為533.19億元。
中國恒大全國總銷售套數為93145套,銷售金額為1072.68億元。其中屬于限購城市的全國總銷售套數為39634套,銷售金額為588.38億元。
在上一輪樓市限購周期,高峰時期共46個城市發布了限購政策。然而據統計,截至2016年1月22日,全國46個限購城市,僅剩5個城市沒有取消限購。
如今,樓市調控再度襲來,調控政策密集出臺,房地產銷售隨即迅即降溫。數據顯示,國慶期間,一、二、三線城市銷量分別環比下跌57%、71.2%和42%。
本次政策密集收緊將人為加速樓市降溫。房地產市場熱度在城市間分化明顯,銷售集中度較高。熱點城市紛紛轉為庫存緊俏,但三四線樓市卻普通一直不慍不火,去庫存任務依然艱巨。因此,房地產調控“因城施策”成為順理成章的事情,且政策密集出臺后,銷售下滑應較以往更為劇烈。
2016年1-6月,全國房地產市場運行呈現以下特點:一是全國房地產開發景氣指數年內首次出現下滑;二是房地產開發投資增速繼續回落,連續兩個月下滑;三是房地產開發企業到位資金年內首次出現回落;四是全國商品房銷售面積、銷售額增幅均繼續回落;五是全國70個大中城市房價漲幅繼續放緩,環比上漲城市個數繼續減少,漲幅繼續收窄,同比上漲城市個數繼續增加,但漲幅有所放緩。
一、國房景氣指數變動情況
進入2016年以來,房地產市場基本面呈現向好態勢,但是本月行業供需指標均出現回落,全國房地產開發景氣指數今年首次出現下滑。國家統計局發布的數據顯示:6月份,“國房景氣指數”為94.40,雖比上年同期提高1.77點,但比上月回落0.08點。
2012年2月-2016年6月“國房景氣指數”變動趨勢

注:全國房地產開發景氣指數遵循經濟周期波動的理論,以景氣循環理論與景氣循環分析方法為依據,運用時間序列、多元統計、計量經濟分析方法,以房地產開發投資為基準指標,選取了房地產投資、資金、面積、銷售有關指標,剔除季節因素和隨機因素的影響,采用增長率循環方法編制而成。國房景氣指數選擇2000年為基年,將其增長水平定為100。通常情況下,國房景氣指數100點是最合適的水平,95至105點之間為適度水平,95以下為較低水平,105以上為偏高水平。
二、房地產開發投資情況
2016年1-6月,由于房屋新開工面積增速進一步放緩,房地產開發投資增速進一步回落,連續兩個月下滑。國家統計局發布的數據顯示:2016年1-6月,全國完成房地產開發投資46,630.5億元,同比增長6.1%,增幅同比提高1.5個百分點,比2016年1-5月回落0.9個百分點。
2015年5月-2016年6月累計全國房地產開發投資及同比增長率變動趨勢

從供應結構來看,相比1-5月,除其他用途的投資增速外住宅、辦公樓及商業營業用房的投資增速均有所放緩。從投資占比來看,辦公樓和商業營業用房的投資占比保持不變,住宅投資用途的投資占比有所下滑,而其他用途的投資占比有所提高。國家統計局發布的數據顯示:2016年1-6月,在房地產開發投資中,商品住宅完成投資31,149.3億元,同比增長5.6%,增幅同比提高2.8個百分點,比2016年1-5月回落1.2個百分點,占房地產開發投資的比重為66.8%;辦公樓投資3,015.8億元,同比增長10.1,增幅同比回落4.3個百分點,比2016年1-5月回落2.7個百分點,所占比重為6.5%;商業營業用房投資7,229.2億元,同比增長7.8%,增幅同比回落0.8個百分點,比2016年1-5月回落0.4個百分點,所占比重為15.5%;其他投資5,236.3億元,同比增長4.6%,增幅同比回落0.5個百分點,但比2016年1-5月提高0.9個百分點,所占比重為11.2%。
從住宅供應結構來看,2016年1-6月,90平方米以下住房完成投資11,543.1億元,增幅同比增長0.1%,增幅同比回落26.5個百分點,比2016年1-5月回落0.9個百分點,占住宅投資的比重為37.1%;別墅、高檔公寓完成投資1,596.4億元,同比下降4.3%,降幅同比擴大0.1個百分點,比2016年1-5月擴大2.2個百分點,占住宅投資的比重為5.1%。
2015年5月-2016年6月累計不同用途房地產開發投資完成額構成情況

2013年11月-2016年6月累計不同用途房地產開發投資增長率變動趨勢

從區域分布上來看,2016年1-6月,東部地區完成房地產開發投資26,589.4億元,同比增長4.6%,增幅同比回落0.3個百分點,比2016年1-5月回落1.4個百分點,占全國房地產開發投資的比重為57.0%;中部地區完成投資9,746.8億元,同比增長10.0%,增幅同比提高6.4個百分點,比2016年1-5月回落1.6個百分點,占全國房地產開發投資的比重為20.9%;西部地區完成投資10,294.3億元,同比增長6.5%,增幅同比提高1.8個百分點,比2016年1-5月提高0.7個百分點,占全國房地產開發投資的比重為22.1%。
2015年5月-2016年6月累計不同地區房地產投資額完成情況

2013年7月-2016年6月累計東、中、西部地區房地產投資增長率變動趨勢

三、房地產開發企業資金來源情況
2016年1-6月,全國房地產開發企業到位資金年內首次出現回落,國內貸款增速、定金、預收款及個人按揭貸款增速均有所回落,其中后兩項同樣為年內首次回落,表明需求端開始降溫。國家統計局發布的數據顯示:2016年1-6月,全國房地產開發企業到位資金68,134.5億元,同比增長15.6%,增幅同比提高15.5個百分點,比2016年1-5月回落1.2個百分點。其中,國內貸款10,938.6億元,同比增長1.0%,增幅比2016年1-5月回落1.3個百分點,上年同期為下降4.1%;利用外資65.7 億元,同比下降63.2%,降幅同比擴大59.3個百分點,比2016年1-5月縮小8.9個百分點;企業自籌資金23,816.1億元,增幅同比下降0.1%,而上年同期為增長0.1%,2016年1-5月為增長1.4%;其他資金33,314.2億元,同比增長38.3%,增幅同比提高36.3個百分點,但比2016年1-5月回落1.1個百分點。在其他資金中,定金及預收款18,933.6億元,同比增長34.1%,增幅比2016年1-5月回落1.1個百分點,上年同期為下降0.9%;個人按揭貸款11,245.4億元,同比增長57.0%,增幅同比提高47.0個百分點,比2016年1-5月回落1.5個百分點。
2015年5月-2016年6月累計全國房地產開發企業資金來源構成情況

2013年7月-2016年6月累計全國房地產開發企業資金來源構成增長率變動趨勢

四、商品房建筑與銷售情況
1、土地購置與待開發情況
2016年1-6月,全國土地市場成交活躍,熱點城市“地王”頻出,一二線城市的土地市場已經復蘇,三四線城市的土地市場開始被關注,土地購置面積下滑幅度持續縮小,表明土地市場繼續維持回升的趨勢。國家統計局發布的數據顯示,2016年1-6月,全國房地產開發企業購置土地面積9,501.9萬平方米,同比下降3.0%,降幅同比縮小30.8個百分點,比2016年1-5月縮小2.9個百分點。同期,全國房地產開發企業待開發土地面積31,122.9萬平方米,增幅同比增長0.4%,而上年同期為下降13.0%,2016年1-5月為下降2.1%。
2015年5月-2016年6月累計全國房地產土地購置與待開發面積及同比增長率變動趨勢

2、商品房施、竣工面積
2016 1-6月,房屋新開工和施工面積同比增速繼續回落,顯示目前全國房地產市場分化格局明顯,大部分三四線城市仍面臨去庫存的壓力,整體樓市去庫存基調不變。國家統計局發布的數據顯示,2016年1-6月,全國商品房累計施工面積669,750.5萬平方米,同比增長5.0%,增幅同比提高0.7個百分點,比2016年1-5月回落0.6個百分點。其中,商品住宅施工面積459,444.4萬平方米,同比增長3.4%,增幅同比提高1.7個百分點,但比2016年1-5月回落0.3個百分點;房屋新開工面積77,536.9萬平方米,同比增長14.9%,增幅比2016年1-5月回落3.4個百分點,上年同期為下降15.8%。
2015年5月-2016年6月累計全國商品房、商品住宅施工面積及同比增長率變動趨勢

國家統計局發布的數據顯示,2016年1-6月,全國商品房累計竣工面積39,546.0萬平方米,同比增長20.0%,增幅比2016年1-5月回落0.4個百分點,上年同期為下降13.8%。其中,商品住宅竣工面積29,024.0萬平方米,同比增長19.2%,增幅比2016年1-5月回落0.4個百分點,上年同期為下降16.5%。
2015年5月-2016年6月累計全國商品房、商品住宅竣工面積及同比增長率變動趨勢

3、全國商品房銷售情況
2016年1-6月,由于基數抬高、政策調控和需求降溫等一系列因素影響下,全國商品房銷售面積及銷售額增速繼續回落。國家統計局發布的數據顯示,2016年1-6月,全國商品房銷售面積64,302.5萬平方米,同比增長27.9%,增幅同比提高24.0個百分點,但比2016年1-5月回落5.3個百分點。其中,商品住宅銷售面積57,093.8萬平方米,同比增長28.6%,增幅同比提高24.1個百分點,比2016年1-5月回落5.6個百分點;同期,全國商品房銷售額48,682.4億元,同比增長42.1%,增幅同比提高32.1個百分點,比2016年1-5月回落8.6個百分點。其中,商品住宅銷售額41,801.9億元,同比增長44.4%,增幅同比提高31.5個百分點,比2016年1-5月回落9.0個百分點。
2015年5月-2016年6月累計全國商品房、商品住宅銷售面積及同比增長率變動趨勢

2015年5月-2016年6月累計全國商品房、商品住宅銷售額及同比增長率變動趨勢

五、全國房地產市場價格變動情況
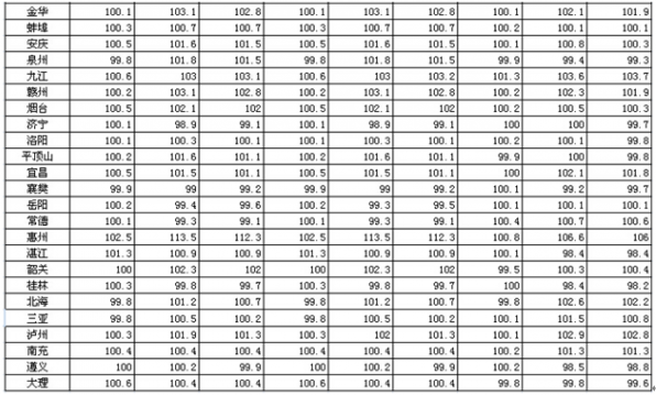
新建商品住宅(不含保障性住房)價格變動情況。與上月相比,70個大中城市中,價格下降的城市有10個,上漲的城市有55個,持平的城市有5個。環比價格變動中,最高漲幅為4.9%,最低為下降0.5%。與上年同月相比,70個大中城市中,價格下降的城市有12個,上漲的城市有57個,持平的城市有1個。6月份,同比價格變動中,最高漲幅為47.4%,最低為下降3.5%。
二手住宅價格變動情況。與上月相比,70個大中城市中,價格下降的城市有14個,上漲的城市有48個,持平的城市有8個。環比價格變動中,最高漲幅為4.3%,最低為下降0.5%。與上年同月相比,70個大中城市中,價格下降的城市有16個,上漲的城市有52個,持平的城市有2個。6月份,同比價格變動中,最高漲幅為39.7%,最低為下降5.9%。
2016年6月份70個大中城市住宅銷售價格指數


注:本表所列北京市“新建商品住宅價格指數”與北京市有關部門發布的“新建普通住房價格”在統計口徑、統計標準等方面均有不同。
鄭重聲明:本文版權歸原作者所有,轉載文章僅為傳播更多信息之目的,如有侵權行為,請第一時間聯系我們修改或刪除,郵箱:cidr@chinaidr.com。


